Border Bee receives a lot of questions from importers who wish to self-clear their packages.They want to avoid the high brokerage fees charged by courier companies, which in some cases can exceed the cost of the product. While Border Bee offers an affordable and quick alternative to paying those high courier rates without the need to leave your home–simply click here–if you are the adventurous type, please follow these instructions to self-clear your package:
How do I self-clear?
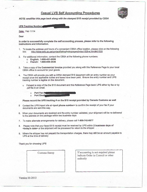
If your goods have arrived at a FedEx, UPS or DHL facility in Canada, you can self-clear the items by collecting some documents and making a trip to your local Customs office. You must wait for the goods to arrive at the warehouse before you can self-clear. The procedures vary slightly in different Customs offices, but in each case a BSO (Border Services Officer) will be there to assist you.
- The manifest or waybill: the courier company will need to provide this to you. It contains the shipping details of your package. Without this, Customs will not know what to release. You can request the courier company provide your documents by e-mail, although you may have to pick up a hard copy at their facility.
- The invoice: In order to collect the correct amount of tax on your purchase, Customs will need to see your invoice. They may also potentially ask for proof of payment (i.e. your receipt) to make sure you are declaring the right value.
- Take these documents to the Customs office closest to the warehouse where your goods are being held. List here. Some Customs offices have computer programs which allow you to rate your own entry. Others will require you to complete Form B15 with an agent’s assistance. You will also be asked for proof of identification. Pay the duties and taxes owing and an agent will stamp your manifest as proof of release from their control.
- With the stamped copy of your manifest (aka the Customs Delivery Authority), you can triumphantly return to the courier’s facility. Show them the stamped copy of the manifest and they will hand you your parcel. Some offices will submit an electronic entry for you, which will allow the goods to be released without the need to show t
Note: If you are importing cargo–air, ocean, or highway–we strongly recommend hiring a broker. If the goods have arrived at an inland sufferance warehouse, the process is the same as clearing a courier shipment. Collect the documents you need and head to Customs. However, coordinating an ocean or air clearance with a freight forwarder may leave you with an ulcer. Likewise, some highway carriers are not bonded and cannot bring your goods into the country. This means your goods may be abandoned on the wrong side of the 49th unless you are waiting at the border for it. Other bad scenarios: penalties and seizures for incorrect declarations, overpayment of duties due to improper classification and hefty storage fees for clearance delays.
What if I live far away from a Customs office?
Hire a different broker to handle the clearance for you.
Can I clear goods for someone else?
In certain cases, if provided with written authority and proof of identification, you can clear goods for an employer or a relative. You cannot, however, clear for any personal profit unless you are a licensed customs broker.
Can I self-clear goods carried by USPS/Canada Post?
All goods shipped by USPS in the United States enter the Canadian postal stream, where they are cleared by agents of the CBSA for a small fee. You cannot clear these shipments yourself. You can, however, apply to a casual refund center if you believe your declaration to be invalid. If you are a business importing goods over $2500, see here.
My courier said they will return my package unless I pay their brokerage fee, is this true?
If you are threatened with COD charges at the door, you can refuse the package and opt to self-clear. You may also hire another broker to clear your parcel at the courier’s facility, or better yet, before it arrives so you can receive it immediately.
Can I self-clear my parcel before it arrives so it can be delivered to me on the first attempt?
No. You must physically present yourself to Customs if you wish to self-clear.
Can I self-clear for my business?
Yes. Please keep in mind that if you are importing for a business, you must be registered with the CRA to do so. You can call ahead to save time (800-959-5525) or a BSO will assist you in activating your business number.
